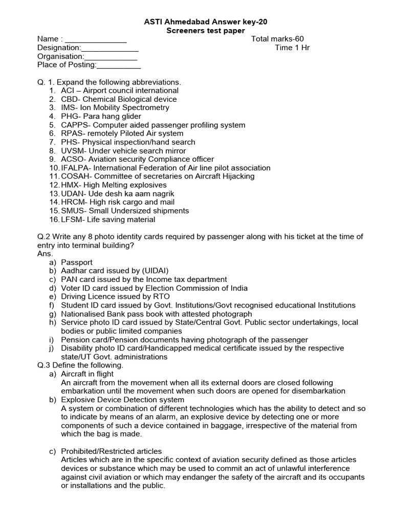
• Accueil
  • Produits phares en 2026
  • Nouveaux produits en 2026
  • Spéciaux 2026

nike an20

  • Accueil
  • nike an20

nike an20

€71.88
Ajouter au chariot

nike an20

€71.88
Ajouter au chariot

nike an20

€71.88
Ajouter au chariot

nike an20

€71.88
Ajouter au chariot

nike an20

€71.88
Ajouter au chariot

nike an20

€71.88
Ajouter au chariot

nike an20

€71.88
Ajouter au chariot

nike an20

€71.88
Ajouter au chariot

nike an20

€71.88
Ajouter au chariot

nike an20

€71.88
Ajouter au chariot

nike an20

€71.88
Ajouter au chariot

nike an20

€71.88
Ajouter au chariot

nike an20

€71.88
Ajouter au chariot

nike an20

€71.88
Ajouter au chariot

nike an20

€71.88
Ajouter au chariot

nike an20

€71.88
Ajouter au chariot

nike an20

€71.88
Ajouter au chariot

nike an20

€71.88
Ajouter au chariot

nike an20

€71.88
Ajouter au chariot

nike an20

€71.88
Ajouter au chariot

nike an20

€71.88
Ajouter au chariot

nike an20

€71.88
Ajouter au chariot

nike an20

€71.88
Ajouter au chariot

nike an20

€71.88
Ajouter au chariot

nike an20

€71.88
Ajouter au chariot

nike an20

€71.88
Ajouter au chariot

nike an20

€71.88
Ajouter au chariot

nike an20

€71.88
Ajouter au chariot

nike an20

€71.88
Ajouter au chariot

nike an20

€71.88
Ajouter au chariot

nike an20

€71.88
Ajouter au chariot

nike an20

€71.88
Ajouter au chariot

nike an20

€71.88
Ajouter au chariot

nike an20

€71.88
Ajouter au chariot

nike an20

€71.88
Ajouter au chariot

nike an20

€71.88
Ajouter au chariot

nike an20

€71.88
Ajouter au chariot

nike an20

€71.88
Ajouter au chariot

nike an20

€71.88
Ajouter au chariot

nike an20

€71.88
Ajouter au chariot
  • ? propos de nous
  • Paiement
  • Comment commander
  • Nous contacter
  • termes et conditions
  • Retour